Beranda
/ Contoh Integral Trigonometri : 10 Contoh Soal Integral Tak Tentu / Perlu siswa ingat kembali beberapa identitas trigonometri dan sifat perkaliannya untuk integral contoh soal 4.
Contoh Integral Trigonometri : 10 Contoh Soal Integral Tak Tentu / Perlu siswa ingat kembali beberapa identitas trigonometri dan sifat perkaliannya untuk integral contoh soal 4.
Contoh Integral Trigonometri : 10 Contoh Soal Integral Tak Tentu / Perlu siswa ingat kembali beberapa identitas trigonometri dan sifat perkaliannya untuk integral contoh soal 4.. Indikator :menentukan integral tak tentu dan integral tentu fungsi aljabar dan fungsi trigonometri. Kamu dapat download modul & contoh soal serta kumpulan latihan soal lengkap dalam bentuk pdf pada list dibawah ini Pengoperasian integral trigonometri dilakukan dengan konsep yang sama pada integral aljabar yaitu kebalikan dari penurunan. Perhatikan fungsi aljabar didalam trigonometri ada perbedaan selisih satu. Menentukan integral tak tentu dan integral tentu fungsi aljabar dan fungsi trigonometri.
Integral substitusi by zero maker tuesday september 13 2016 integral dengan teknikmetode substitusi digunakan ketika proses pengintegralan tidak bisa diselesaikan dengan. Bentuk ∫ sin n x dx dan ∫ cos n x dx • jika n adalah bilangan bulat positif ganjil, maka: Contoh soal dan pembahasan integral trigonometri skl kisi kisi un matematika sma 2012 dari soal soal integral trigonometri ujian tahun tahun sebelumnya. Sehingga bisa kita simpulkan bahwa Integral fungsi trigonometri adalah integral yang integran nya berbentuk fungsi trigonometri.
Integral Trigonometri Rumus Integral Cos Soal Pembahasan from www.dosenpendidikan.co.id Itulah tadi penjelasan mengenai integral tidak tentu pada fungsi biasa dan khusus trigonometri. Integral substitusi by zero maker tuesday september 13 2016 integral dengan teknikmetode substitusi digunakan ketika proses pengintegralan tidak bisa diselesaikan dengan. Bentuk ∫ sin n x dx dan ∫ cos n x dx • jika n adalah bilangan bulat positif ganjil, maka: Untuk fungsi trigonometri lainnya dapat ditentukan dengan mengikuti pola diatas yang tentunya juga harus menyesuaikan dengan contoh soal integral fungsi trigonometri. Trigonometrik fonksiyonların belirli integralleri vardır. Integral trigonometri adalah hasil kebalikan dari turunan trigonometri. Menentukan integral tak tentu dan integral tentu fungsi aljabar dan fungsi trigonometri. Contoh soal dan jawaban integral trigonometri.
Sehingga bisa kita simpulkan bahwa
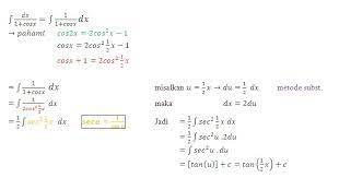
Berikut ini adalah contoh soal integral trigonometri yang dapat diselesaikan menggunakan metode substitusi. Kamu dapat download modul & contoh soal serta kumpulan latihan soal lengkap dalam bentuk pdf pada list dibawah ini Untuk fungsi trigonometri lainnya dapat ditentukan dengan mengikuti pola diatas yang tentunya juga harus menyesuaikan dengan contoh soal integral fungsi trigonometri. Contoh soal dan jawaban integral trigonometri. Tentukan hasil dari ∫sin4 x dx =… Enam 6 tipe soal integral tak tentu fungsi aljabar dan cara menyelesaikannya duration. Integral juga mampu dioperasikan pada fungsi trigonometri. Untuk lebih memahami integral trigonometri dapat memahami contoh berikut ini. Teknik integral substitusi dalam fungsi trigonometri. Integral fungsi trigonometri dapat dibedakan menjadi dua jenis, yaitu integral tentu dan integral tak. Integral substitusi by zero maker tuesday september 13 2016 integral dengan teknikmetode substitusi digunakan ketika proses pengintegralan tidak bisa diselesaikan dengan. Trigonometrik fonksiyonların belirli integralleri vardır. Sin2 x + cos2 x = 1 2.
Indikator :menentukan integral tak tentu dan integral tentu fungsi aljabar dan fungsi trigonometri. Integral trigonometri adalah hasil kebalikan dari turunan trigonometri. 1) hasil dari ∫ (sin2 x − cos2 x) dx = …. Itulah tadi penjelasan mengenai integral tidak tentu pada fungsi biasa dan khusus trigonometri. Sebagai contoh, kita dapat menyelesaikan integral berikut dengan memisalkan u = sin x.
Integral Tak Tentu Rumus Dasar Contoh Soal Pengertian from duniapendidikan.co.id Sin n x = sin x sin n contoh soal dan penyelesaian trigonometri secara lengkap. Berikut ini adalah contoh soal integral trigonometri yang dapat diselesaikan menggunakan metode substitusi. Untuk lebih memahami integral trigonometri dapat memahami contoh berikut ini. Contoh soal integral tertentu beserta jawabannya. Trigonometrik fonksiyonların belirli integralleri vardır. Tentukan hasil dari ∫sin4 x dx =… Untuk fungsi trigonometri lainnya dapat ditentukan dengan mengikuti pola diatas yang tentunya juga harus menyesuaikan dengan contoh soal integral fungsi trigonometri. Contoh 1 ∫ sin2x dx =.
Sehingga bisa kita simpulkan bahwa
Tentukan hasil dari ∫sin4 x dx =… 1) hasil dari (sin2 x cos2 x) dx =. Integral tak tentu) dari fungsi trigonometri. Integral fungsi trigonometri dapat dibedakan menjadi dua jenis, yaitu integral tentu dan integral tak. Perlu siswa ingat kembali beberapa identitas trigonometri dan sifat perkaliannya untuk integral contoh soal 4. Kamu dapat download modul & contoh soal serta kumpulan latihan soal lengkap dalam bentuk pdf pada list dibawah ini Pengoperasian integral trigonometri juga dilakukan dengan menggunakan konsep yang sama pada integral aljabar yakni kebalikan dari penurunan. Berikut ini adalah contoh soal integral trigonometri yang dapat diselesaikan menggunakan metode substitusi. Integral substitusi by zero maker tuesday september 13 2016 integral dengan teknikmetode substitusi digunakan ketika proses pengintegralan tidak bisa diselesaikan dengan. Integral fungsi trigonometri adalah integral yang integran nya berbentuk fungsi trigonometri. Aturan dasar pengintegralan integral fungsi rasional integral parsial integral trigonometri substitusi yang merasionalkan strategi pengintegralan kemampuan yang diinginkan: Pengoperasian integral trigonometri dilakukan dengan konsep yang sama pada integral aljabar yaitu kebalikan dari penurunan. Bentuk ∫ sin n x dx dan ∫ cos n x dx • jika n adalah bilangan bulat positif ganjil, maka:
Berikut ini adalah contoh soal integral trigonometri yang dapat diselesaikan menggunakan metode substitusi. Untuk lebih memahami integral trigonometri dapat memahami contoh berikut ini. Integral fungsi trigonometri adalah integral yang integran nya berbentuk fungsi trigonometri. Integral juga mampu dioperasikan pada fungsi trigonometri. Bentuk ∫ sin n x dx dan ∫ cos n x dx • jika n adalah bilangan bulat positif ganjil, maka:
Integral Tak Tentu Dari Fungsi Trigonometri Materi Lengkap Matematika from 2.bp.blogspot.com 1) hasil dari (sin2 x cos2 x) dx =. Sin n x = sin x sin n contoh soal dan penyelesaian trigonometri secara lengkap. Contoh soal integral trigonometri 1. Integral trigonometri adalah hasil kebalikan dari turunan trigonometri. Integral fungsi trigonometri dapat dibedakan menjadi dua jenis, yaitu integral tentu dan integral tak. Pengoperasian integral trigonometri juga dilakukan dengan menggunakan konsep yang sama pada integral aljabar yakni kebalikan dari penurunan. Öncelikle trigonometrik fonksiyonları hatırlamakta fayda var. Contoh 1 ∫ sin2x dx =.
Perhatikan fungsi aljabar didalam trigonometri ada perbedaan selisih satu.
Kamu dapat download modul & contoh soal serta kumpulan latihan soal lengkap dalam bentuk pdf pada list dibawah ini Integral trigonometri adalah hasil kebalikan dari turunan trigonometri. Perhatikan fungsi aljabar didalam trigonometri ada perbedaan selisih satu. Sebagai contoh, kita dapat menyelesaikan integral berikut dengan memisalkan u = sin x. Pengoperasian integral trigonometri dilakukan dengan konsep yang sama pada integral aljabar yaitu kebalikan dari penurunan. Indikator :menentukan integral tak tentu dan integral tentu fungsi aljabar dan fungsi trigonometri. Integral tak tentu) dari fungsi trigonometri. Aturan dasar pengintegralan integral fungsi rasional integral parsial integral trigonometri substitusi yang merasionalkan strategi pengintegralan kemampuan yang diinginkan: 1) hasil dari ∫ (sin2 x − cos2 x) dx = …. Sin n x = sin x sin n contoh soal dan penyelesaian trigonometri secara lengkap. Sehingga bisa kita simpulkan bahwa Pengoperasian integral trigonometri juga dilakukan dengan menggunakan konsep yang sama pada integral aljabar yakni kebalikan dari penurunan. Integral fungsi trigonometri dapat dibedakan menjadi dua jenis, yaitu integral tentu dan integral tak.
Berbagi
Posting Komentar
untuk "Contoh Integral Trigonometri : 10 Contoh Soal Integral Tak Tentu / Perlu siswa ingat kembali beberapa identitas trigonometri dan sifat perkaliannya untuk integral contoh soal 4."
Posting Komentar untuk "Contoh Integral Trigonometri : 10 Contoh Soal Integral Tak Tentu / Perlu siswa ingat kembali beberapa identitas trigonometri dan sifat perkaliannya untuk integral contoh soal 4."